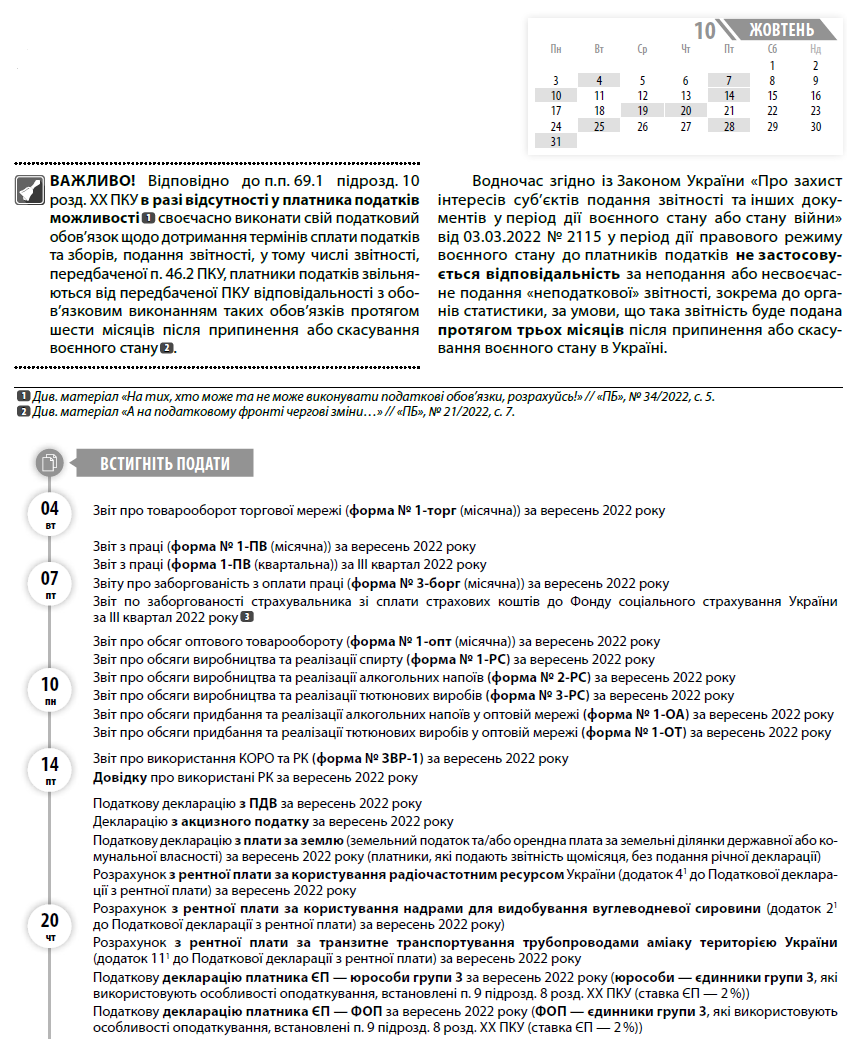
Календар бухгалтера та ФОП на жовтень 2022 року


______________________________
- ПКУ.
- «На тих, хто може та не може виконувати податкові обов’язки, розрахуйсь!» // «ПБ», № 34/2022, с. 5.
- «А на податковому фронті чергові зміни…» // «ПБ», № 21/2022, с. 7.
- Закон України «Про захист інтересів суб’єктів подання звітності та інших документів у період дії воєнного стану або стану війни» від 03.03.2022 р. № 2115-IX.
- Порядок подання фінансової звітності, затвердженого постановою КМУ від 28.02.2000 р. № 419.
- Закон про ЄСВ.





