Статьи

С

Сводная налоговая накладная для начисления «технических» налоговых обязательств: составляем вместе

24 декабря, 2018
Тема: НДС

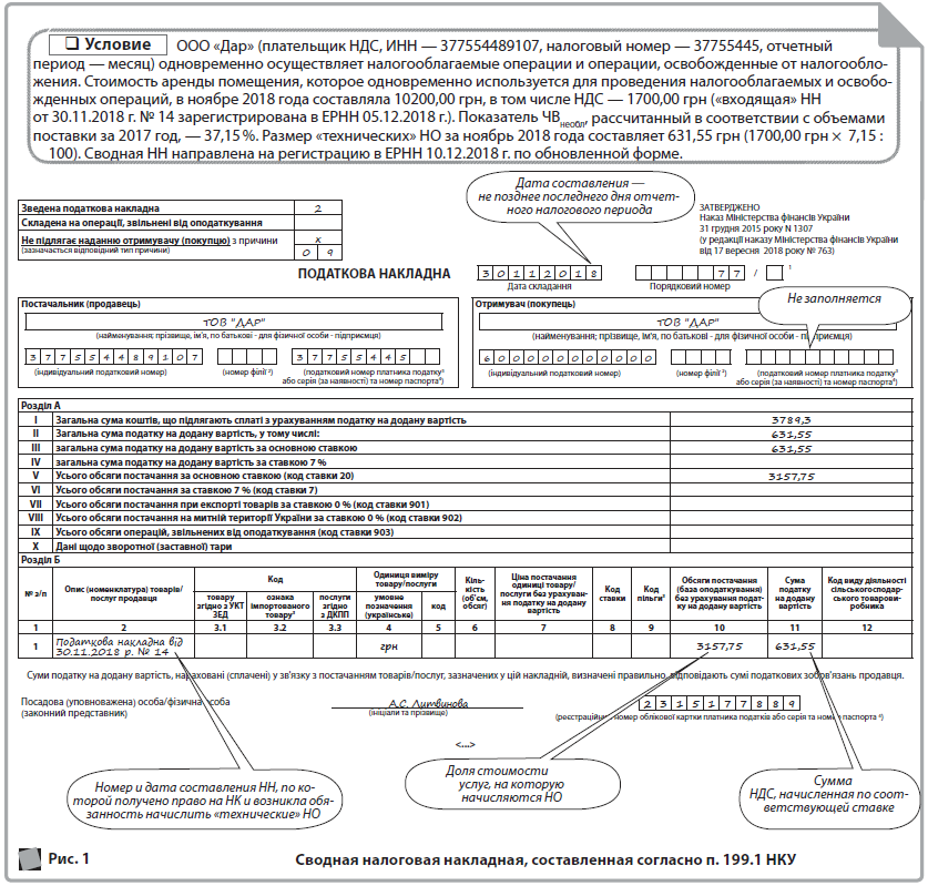
 Зведена податкова накладна 	  2 	  ЗАТВЕРДЖЕНО  Наказ Міністерства фінансів України  31 грудня 2015 року N 1307  (у редакції наказу Міністерства фінансів України  від 17 вересня 2018 року № 763)  Складена на операції, звільнені від оподаткування 	   Не підлягає наданню отримувачу (покупцю) з причини (зазначається відповідний тип причини) 	  х  0 	  9  ПОДАТКОВА НАКЛАДНА 	   	  3 	  0 	  1 	  1 	  2 	  0 	  1 	  8 	   	   	   	   	   	   	  7 	  7 	  / 	   	  1  Дата складання 	  Порядковий номер 	   	   	   Постачальник (продавець)  ТОВ "ДАР"  (найменування; прізвище, ім'я, по батькові - для фізичної особи - підприємця)  3 	  7 	  7 	  5 	  5 	  4 	  4 	  8 	  9 	  1 	  0 	  7 	   	   	   	   	   	   	  3 	  7 	  7 	  5 	  5 	  4 	  4 	  5 	   	   (індивідуальний податковий номер) (номер філії 2) (податковий номер платника податку3 або серія (за наявності) та номер паспорта4) 	   	  Отримувач (покупець)  ТОВ "ДАР"  (найменування; прізвище, ім'я, по батькові - для фізичної особи - підприємця)  6 	  0 	  0 	  0 	  0 	  0 	  0 	  0 	  0 	  0 	  0 	  0 	   	   	   	   	   	   	   	   	   	   	   	   	   	   	   	   (індивідуальний податковий номер) (номер філії 2) (податковий номер платника податку3 або серія (за наявності) та номер паспорта4)  Розділ А  I 	  Загальна сума коштів, що підлягають сплаті з урахуванням податку на додану вартість 	  3789,3  II 	  Загальна сума податку на додану вартість, у тому числі: 	  631,55  III 	  загальна сума податку на додану вартість за основною ставкою 	  631,55  IV 	  загальна сума податку на додану вартість за ставкою 7 % 	   V 	  Усього обсяги постачання за основною ставкою (код ставки 20) 	  3157,75  VI 	  Усього обсяги постачання за ставкою 7 % (код ставки 7) 	   VII 	  Усього обсяги постачання при експорті товарів за ставкою 0 % (код ставки 901) 	   VIII 	  Усього обсяги постачання на митній території України за ставкою 0 % (код ставки 902) 	   IX 	  Усього обсяги операцій, звільнених від оподаткування (код ставки 903) 	   X 	  Дані щодо зворотної (заставної) тари 	   Розділ Б  № з/п 	  Опис (номенклатура) товарів/послуг продавця 	  Код 	  Одиниця виміру товару/послуги 	  Кількість (об'єм, обсяг) 	  Ціна постачання одиниці товару/ послуги без урахування податку на додану вартість 	  Код ставки 	  Код пільги3 	  Обсяги постачання (база оподаткування) без урахування податку на додану вартість 	  Сума податку на додану вартість 	  Код виду діяльності сільськогосподарського товаровиробника  товару згідно з УКТ ЗЕД 	  ознака  імпортованого товару3 	  послуги згідно з ДКПП 	  умовне  позначення (українське) 	  код  1 	  2 	  3.1 	  3.2 	  3.3 	  4 	  5 	  6 	  7 	  8 	  9 	  10 	  11 	  12  1 	  Податкова накладна від 30.11.2018 р. № 14 	   	   	   	  грн 	   	   	   	   	   	  3157,75 	  631,55 	   Суми податку на додану вартість, нараховані (сплачені) у зв'язку з постачанням товарів/послуг, зазначених у цій накладній, визначені правильно, відповідають сумі податкових зобов'язань продавця.  Посадова (уповноважена) особа/фізична особа (законний представник) 	  А.С. Литвинова (ініціали та прізвище) 	  2 	  3 	  1 	  5 	  1 	  7 	  7 	  8 	  8 	  9  (реєстраційний номер облікової картки платника податків або серія та номер паспорта 4)   <...>  Рис. 1 	  Сводная налоговая накладная, составленная согласно п. 199.1 НКУ   Условие  ООО «Дар» (плательщик НДС, ИНН — 377554489107, налоговый номер — 37755445, отчетный период — месяц) одновременно осуществляет налогооблагаемые операции и операции, освобожденные от налогообложения. Стоимость аренды помещения, которое одновременно используется для проведения налогооблагаемых и освобожденных операций, в ноябре 2018 года составляла 10200,00 грн, в том числе НДС — 1700,00 грн («входящая» НН от 30.11.2018 г. № 14 зарегистрирована в ЕРНН 05.12.2018 г.). Показатель ЧВнеобл, рассчитанный в соответствии с объемами поставки за 2017 год, — 37,15 %. Размер «технических» НО за ноябрь 2018 года составляет 631,55 грн (1700,00 грн × 7,15 : 100). Сводная НН направлена на регистрацию в ЕРНН 10.12.2018 г. по обновленной форме.   Номер и дата составления НН, по которой получено право на НК и возникла обязанность начислить «технические» НО  Доля стоимости услуг, на которую начисляются НО   Дата составления — не позднее последнего дня отчетного налогового периода  Сумма НДС, начисленная по соответствующей ставке  Не заполняется

Светлана Куртенок, бухгалтер-эксперт

Календарь

На этой неделе
событий нет

Вверх
Закрыть
Заказать обратный звонок
Будет выполнено оформление подписки на выбранное издание
Телефон
Оформить
Вернуться
Закрыть
Извините, на выбранный вами период подписка не осуществляется. Для того чтобы задать свой вопрос звоните на наши контактные телефоны или воспользуйтесь формой обратной связи